Intraocular Pressure in Glaucoma: Linking Pathogenesis and Treatment
A recent study shows prostaglandins’ success.
BY LOUIS B. CANTOR, M.D.
Glaucoma is a heterogeneous group of disorders associated with elevated IOP, which, over time, can irreversibly damage the optic nerve and retinal ganglion cells, resulting in loss of vision. Indeed, the American Academy of Ophthalmology (AAO) Preferred Practice Pattern notes that IOP is a major factor associated with glaucoma.1 This article focuses on IOP in the pathogenesis of glaucoma and recent advances in treatments that target IOP, particularly topical prostanoids.
Prevalence and Impact
Primary open-angle glaucoma (POAG), the most common form of the disease, is estimated to affect about 2.2 million Americans, with prevalence rates higher in older age groups. Thus, prevalence is expected to rise as the population ages, to an estimated 3.36 million by 2020. The prevalence among African Americans is about three times higher than in Caucasians.2 Further, a recent large meta-analysis suggests men are 37% more likely than women to have POAG.3
Glaucoma is costly from both human and economic perspectives. It is a leading cause of blindness in the United States, and the leading cause among African Americans.4,5 It has been estimated that managed care organizations spend $1 billion annually to treat glaucoma and that the disease costs the U.S. government about $1.5 billion each year in Social Security benefits, lost income tax revenues and healthcare expenditures.6 Monitoring patients with glaucoma and those at risk for it account for more than 7 million office visits each year.7,8 Unfortunately, notwithstanding these treatment expenditures and the fact that vision loss usually can be prevented with early detection and treatment,9 survey data suggest that about half of people with glaucoma are unaware they have it and remain untreated.10,11
IOP and Glaucoma Pathogenesis
Elevated IOP is the risk factor most often associated with the development and progression of glaucoma. IOP is regulated by the eye’s fluid outflow system: a network of endothelial cell-lined structures in the angle of the anterior chamber, including the trabecular meshwork, Schlemm’s canal, collecting channels and the episcleral venous system. Defects in this system may result from chronic oxidative stress, consistent with the association of glaucoma with age12,13 and/or mutations in any of a number of genes.14 The resulting increased IOP is thought to cause mechanical deformation of the cribriform plates of the lamina cribrosa, which in turn compresses the optic nerve fiber bundle. This causes glaucomatous change in the optic nerve.15
IOP’s association with POAG has been demonstrated in many population-based studies.16-26 However, it is important to note that the precise pathogenesis of glaucoma is likely complex and remains somewhat obscure. Vascular dysfunction is the basis of an alternative pathogenic theory in which ischemia (resulting from decreased perfusion pressure, an autoregulatory deficit, or vasospasm) leads to optical neuron apoptosis.15,27
Targeting IOP in Treatment
Intervention studies have shown that reducing IOP and maintaining lower levels decreases the progression of visual field loss in POAG.9,28-34 Even a little lowering is beneficial: Major trials demonstrate that each millimeter reduction of IOP decreases the risk of progression by 10% to 16%.9,28,32,33 The Advanced Glaucoma Intervention Study (AGIS) showed that, over the course of 7 years, patients who maintained an IOP <18 mm Hg (mean IOP approximately 12 mm Hg) had no visual field progression on average compared with those who had higher IOP.37
What should the target IOP be? As recommended by the AAO, we should assume that the pretreatment pressure range has contributed to optic nerve damage and is likely to cause additional damage in the future. The "target pressure" is then set at least 20% lower1 — although most clinical trials support a reduction of at least 30%. Even greater reduction may be justified based on the severity of existing optic nerve damage (Table) and its rate of progression, the pretreatment level of IOP and other patient risk factors. The AAO also recommends that if progression occurs at the target IOP, it should be lowered further. Failure to achieve and maintain a controlled target IOP should trigger reassessment of the treatment.
Stabilizing IOP is also important because IOP fluctuations in treated eyes are associated with an increased risk of progression.35,36 Another AGIS report showed that an IOP fluctuation of 1 mm Hg increased the risk of progression by 30% over about 7 years.36 The AAO recommends, as a primary goal in managing glaucoma, achieving a controlled, stable range of IOPs to slow or prevent further optic nerve damage.1,37,38
Considering Medications
Reductions in IOP can be achieved by medical treatment, laser, filtering or cyclodestructive surgery (alone or in combination). The approach depends on numerous factors and should involve discussions with the patient.
Topical medications can provide effective initial therapy for many patients. Prostaglandin analogues or prostanoids are the newest agents and usually provide the greatest IOP lowering; they are generally the preferred first choice.39 Beta adrenergic antagonists are also frequently used. Other, older agents include alpha-2 adrenergic agonists, topical (and oral) carbonic anhydrase inhibitors and parasympathomimetics; they generally do not provide as much reduction in IOP and have more side effects, but still may be appropriate for certain patients. Prostanoids and other glaucoma medications have been described in detail in several excellent reviews.40-44
I recommend that, whenever possible, IOP be controlled with monotherapy rather than multiple medications because each additional medication adds side effects and costs. Further, patients are likely to adhere better to an effective, single therapy compared to multiple medications.45 If a single agent does not lower IOP to the target pressure, switching to another therapy may improve the response. The switch can be to a different class or within the same class because, as described below, agents within the same class may produce different responses. The bottom line is that I do not usually use adjunctive therapy until I have exhausted these approaches with monotherapies.
After treatment has begun, patients should be seen regularly (I recommend every 3 months on average) to determine the response to treatment and monitor for side effects, tolerability problems, drug interactions, etc. Ongoing frequent patient contact also encourages adherence, which is notoriously poor with glaucoma therapies.46,47
Comparing Prostanoids
As noted above, different agents from the same class can have different effects in patients, including prostanoids, the newest and generally preferred first-line topical agents.39 As concluded in a recent comprehensive review, while all three agents — bimatoprost (Lumigan, Allergan), travoprost (Travatan, Alcon) and latanoprost (Xalatan, Pfizer) — are effective in lowering IOP, in most studies bimatoprost provided somewhat greater reduction than did the other two agents. A recent review of 42 randomized clinical trials involving 9,295 patients and that included one or more of the prostanoids bimatoprost, latanoprost and travoprost concluded that bimatoprost seems to be the most efficacious treatment in lowering IOP. Collectively, the studies showed that latanoprost, travoprost and bimatoprost resulted in weighted mean IOP reductions of 26.7%, 28.7% and 30.3%, respectively.39
Figure 1. (A) Mean IOP reduction from baseline at 9 a.m. in each treatment group at each study visit. (B) Mean IOP reduction from baseline at 1 p.m. in each treatment group at 3 and 6 months. Both drugs provided significant IOP reductions from baseline at 1 p.m. at each study visit during which diurnal IOP was measured 3 and 6 months. (C) Mean IOP reduction from baseline at 4 p.m. in each treatment group at 3 and 6 months. Both drugs provided significant IOP reductions from baseline at 4 p.m. at each study visit during which diurnal IOP was measured (3 and 6 months; P<.001).48
We recently compared bimatoprost and travoprost in a prospective, investigator-blinded, parallel-group trial in 157 patients with POAG or ocular hypertension.48 After completing a washout of all glaucoma drugs, patients were randomly assigned to treatment with bimatoprost 0.03% q.i.d. or travoprost 0.004% q.i.d. Patients were assessed at baseline, 1 week, and 1, 3 and 6 months. IOP was measured at 9 a.m. at each visit and also at 1 p.m. and 4 p.m. at baseline and at 3 and 6 months. There were no significant differences in IOP between the two groups at baseline at these time points.
We found that both study drugs provided significant IOP reductions from baseline at 9 a.m. at all study visits and at 1 pm. and 4 p.m. at each study visit during which diurnal IOP was measured (3 and 6 months) (P<.001 for all changes vs. baseline). However, bimatoprost reduced IOP at 9 a.m. significantly more than did travoprost at every study visit (Figure 1). For example, at 6 months, mean IOP reduction at 9 a.m. was 7.1 mm Hg (27.9%) with bimatoprost and 5.7 mm Hg (23.3%) with travoprost (P=.014). Reductions at 1 p.m. and 4 p.m. were not significantly different for the two groups.
Throughout the day, mean IOP with bimatoprost was lower than with travoprost, and these differences were significantly different at 9 a.m. (P=.022). In addition, there was a trend toward lower mean IOP with bimatoprost compared with travoprost at 1 p.m. (P=.143) (Figure 2). At the 6-month study visit, mean IOP of the bimatoprost- and travoprost-treated groups ranged from 16.6 mm Hg to 17.5 mm Hg and 17.3 mm Hg to 18.7 mm Hg, respectively.
Figure 2. Diurnal mean IOP at the 6-month study visit.
After 6 months of treatment, more patients treated with bimatoprost than travoprost, respectively, had clinically relevant IOP reductions of >20% (77.6% vs. 64.2%, trend with P=.065), >25% (64.5% vs. 39.5%, P=.002) and >30% (38.2% vs. 28.4%, trend with P=.194). Additionally, there was a trend toward a higher rate of clinical success in patients treated with bimatoprost than travoprost: 78.1% vs 68% (P=.167). A patient was considered clinical success if the investigator, after considering IOP-lowering efficacy, tolerability and any adverse events, continued the patient on his or her study drug. Both drugs were well tolerated, with ocular redness the most commonly reported adverse event for both.
Noecker and colleagues49 found similar results in a 6-month prospective, multicenter, randomized, investigator-masked trial in 269 patients. Treatment q.i.d. with bimatoprost 0.03% was more effective than latanoprost 0.005% in lowering IOP. The mean reductions were statistically significantly lower with bimatoprost than latanoprost at all measurements (8 a.m., 12 p.m. and 4 p.m.) on all four follow-up visits (1 week and 1, 3 and 6 months) (P values ranging from <.001 - .049) (Figure 3). At 6 months, the reduction vs. baseline was 1.5 mm Hg greater at 8 a.m. (P<.001), 2.2 mm Hg greater at 12 p.m. (P<.001), and 1.2 mm Hg greater at 4 p.m. (P=.004) for bimatoprost vs.latanoprost. The percentage of patients achieving a >20% IOP decrease was 69% to 82% with bimatoprost and 50% to 62% with latanoprost (P<.003). Both drugs were well tolerated.
Figure 3. Mean (+ standard error of the mean [SEM]) change from baseline IOP for all 12 follow-up measurements.
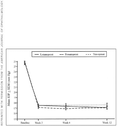
Not all studies have shown greater IOP reduction with bimatoprost compared to the other prostanoids. Parrish and colleagues50 conducted a 12-week, parallel-group study in 410 previously treated patients with POAG or ocular hypertension and IOP >23 mm Hg. After a washout period, the patients were randomly assigned to q.i.d. treatment in one or both eyes with bimatoprost 0.03%, travoprost 0.004% or latanoprost 0.005%.
IOP was similarly and significantly reduced vs. baseline in all three groups (P<.001 for each) (Figure 4). Adjusted (ANCOVA [analysis of covariance]) reductions in mean IOP at 8 a.m, 4 p.m. and 8 p.m. were also similar for all three groups. There were significantly fewer adverse events and hyperemia associated with latanoprost compared to bimatoprost (P<.001).
Figure 4. Unadjusted 8 a.m. mean intraocular pressure (IOP) levels were similarly and significantly reduced vs. baseline in all three groups (P<.001 for each) for each visit (intent-to-treat population).50
Attacking IOP
Because elevated IOP plays a central role in the pathogenesis of the most common form of glaucoma, POAG, it is a major target for treatment. Both reduction and stabilization of IOP are critical in preventing disease progression and further optic nerve damage. For many patients, topical medications can provide effective initial therapy. Monotherapy is preferred because it simplifies treatment, minimizes costs and promotes adherence. In choosing a medication, ophthalmologists should consider its relative efficacy in lowering IOP, especially given that 1 mm Hg incremental lowering can translate into a 10% to 16% reduction in the risk of progression. Among topical medications, prostanoids lower IOP the most and should be considered first-line. OM
| Louis B. Cantor, M.D., is the Jay C. and Lucile L. Kahn Chair and Professor of Glaucoma Research and Education, vice chair for Education, and director of the Glaucoma Service in the Department of Ophthalmology at the Indiana University School of Medicine. He has received multiple grants and published over 100 abstracts and 80 peer-reviewed publications. Dr. Cantor is a paid consultant to Allergan and AMO and a member of Glaukos’s advisory board. He has received research support from Allergan, Alcon, Glaukos, Pfizer and AMO. |
|
References
1. American Academy of Ophthalmology Glaucoma Panel. Preferred Practice Pattern: Primary openangle glaucoma. American Academy of Ophthalmology, San Francisco, September 2005. Available at: http://www.aao.org/education/ library/ppp/poag_new.cfm.
2. Friedman DS, Wolfs RC, O’Colmain BJ, et al. Prevalence of open-angle glaucoma among adults in the United States. Arch Ophthalmol. 2004;122:532-538.
3. Rudnicka AR, Mt-Isa S, Owen CG, Cook DG, Ashby D. Variations in primary open-angle glaucoma prevalence by age, gender, and race: a Bayesian meta-analysis. Invest Ophthalmol Vis Sci. 2006;47:4254-4261.
4. Congdon N, O’Colmain B, Klaver CC, et al. Causes and prevalence of visual impairment among adults in the United States. Arch Ophthalmol. 2004;122:477-485.
5. Sommer A, Tielsch JM, Katz J, et al. Racial differences in the cause-specific prevalence of blindness in east Baltimore. N Engl J Med 1991;325:1412-7.
6. Dalzell MD. Glaucoma: prevalence, utilization, and economic implications. Manag Care. 2002;11(11 Suppl):10-15.
7. Javitt JC, Chiang YP. Preparing for managed competition. Utilization of ambulatory eye care visits to ophthalmologists. Arch Ophthalmol 1993;111:1034-5.
8. Schappert S. Office visits for glaucoma: United States, 1991-92. Advance data from vital and health statistics. Vol. 262. Hyattsville, MD: National Center for Health Statistics, 1995.
9. Kass MA, Heuer DK, Higginbotham EJ, et al. The Ocular Hypertension Treatment Study: a randomized trial determines that topical ocular hypotensive medication delays or prevents the onset of primary open-angle glaucoma. Arch Ophthalmol. 2002;120:701-713.
10. Tielsch JM, Sommer A, Katz J, et al. Racial variations in the prevalence of primary open-angle glaucoma. The Baltimore Eye Survey. JAMA 1991;266:369-74.
11. Quigley HA, Vitale S. Models of open-angle glaucoma prevalence and incidence in the United States. Invest Ophthalmol Vis Sci. 1997;38:83-91.
12. Izzotti A, Sacca SC, Cartiglia C, De Flora S. Oxidative deoxyribonucleic damage in the eyes of glaucoma patients. AM J Med. 2003; 114:638-646.
13. Chen JZ, Kadlubar FF. A new clue to glaucoma pathogenesis. Am J Med. 2003;114:697-698.
14. Challa P. Glaucoma genetics: advancing new understandings of glaucoma pathogenesis. Int Ophthalmol Clin. 2004;44:167-185.
15. Yamamoto T, Kitazawa Y. Vascular pathogenesis of normal-tension glaucoma: a possible pathogenetic factor, other than intraocular pressure, of glaucomatous optic neuropathy. Prog Retin Eye Res. 1998;17:127-143.
16. Dielemans I, Vingerling JR, Wolfs RC, et al. The prevalence of primary open-angle glaucoma in a population-based study in The Netherlands. The Rotterdam Study. Ophthalmology. 1994;101:1851-1855.
17. Sommer A, Tielsch JM, Katz J, et al. Relationship between intraocular pressure and primary open angle glaucoma among white and black Americans. The Baltimore Eye Survey. Arch Ophthalmol. 1991;109:1090-1095.
18. Mitchell P, Smith W, Attebo K, Healey PR. Prevalence of open-angle glaucoma in Australia. The Blue Mountains Eye Study. Ophthalmology. 1996;103:1661-1669.
19. Leske MC, Connell AM, Schachat AP, Hyman L. The Barbados Eye Study. Prevalence of open angle glaucoma. Arch Ophthalmol. 1994;112:821-829.
20. Quigley HA, West SK, Rodriguez J, et al. The prevalence of glaucoma in a population-based study of Hispanic subjects: Proyecto VER. Arch Ophthalmol. 2001;119:1819-1826.
21. Leibowitz HM, Krueger DE, Maunder LR, et al. The Framingham Eye Study monograph: An ophthalmological and epidemiological study of cataract, glaucoma, diabetic retinopathy, macular degeneration, and visual acuity in a general population of 2631 adults, 1973-1975. Surv Ophthalmol. 1980;24:335-610.
22. Klein BE, Klein R, Sponsel WE, et al. Prevalence of glaucoma. The Beaver Dam Eye Study. Ophthalmology. 1992;99:1499-1504.
23. Weih LM, Nanjan M, McCarty CA, Taylor HR. Prevalence and predictors of open-angle glaucoma: results from the visual impairment project. Ophthalmology. 2001;108:1966-1972.
24. Leske MC, Connell AM, Wu SY, et al. Incidence of open-angle glaucoma: the Barbados Eye Studies. The Barbados Eye Studies Group. Arch Ophthalmol. 2001;119:89-95.
25. Mukesh BN, McCarty CA, Rait JL, Taylor HR. Five-year incidence of open-angle glaucoma: the visual impairment project. Ophthalmology. 2002;109:1047-1051.
26. Le A, Mukesh BN, McCarty CA, Taylor HR. Risk factors associated with the incidence of open-angle glaucoma: the visual impairment project. Invest Ophthalmol Vis Sci. 2003;44:3783-3789.
27. Harris A, Rechtman E, Siesky B, Jonescu-Cuypers C, McCranor L, Garzozi HJ. The role of optic nerve blood flow in the pathogenesis of glaucoma. Ophthalmol Clin North Am. 2005;18:345-353.
28. Collaborative Normal-Tension Glaucoma Study Group. Comparison of glaucomatous progression between untreated patients with normal-tension glaucoma and patients with therapeutically reduced intraocular pressures. Am J Ophthalmol. 1998;126:487-497.
29. Collaborative Normal-Tension Glaucoma Study Group. The effectiveness of intraocular pressure reduction in the treatment of normal-tension glaucoma. Am J Ophthalmol. 1998;126:498-505.
30. Gordon MO, Beiser JA, Brandt JD, et al. The Ocular Hypertension Treatment Study: baseline factors that predict the onset of primary open-angle glaucoma. Arch Ophthalmol. 2002;120:714-720; discussion 829-830.
31. Leske MC, Heijl A, Hussein M, et al. Factors for glaucoma progression and the effect of treatment: the Early Manifest Glaucoma Trial. Arch Ophthalmol. 2003;121:48-56.
32. Heijl A, Leske MC, Bengtsson B, et al. Reduction of intraocular pressure and glaucoma progression: results from the Early Manifest Glaucoma Trial. Arch Ophthalmol. 2002;120:1268-1279.
33. The AGIS Investigators. The Advanced Glaucoma Intervention Study (AGIS): 7. The relationship between control of intraocular pressure and visual field deterioration. Am J Ophthalmol. 2000;130:429-440.
34. Lichter PR, Musch DC, Gillespie BW; CIGTS Study Group. Interim clinical outcomes in the Collaborative Initial Glaucoma Treatment Study comparing initial treatment randomized to medications or surgery. Ophthalmology. 2001;108:1943-1953.
35. Nouri-Mahdavi K, Hoffman D, Coleman AL, et al. Predictive factors for glaucomatous visual field progression in the Advanced Glaucoma Intervention Study. Ophthalmology. 2004;111:1627-1635.
36. Asrani S, Zeimer R, Wilensky J, et al. Large diurnal fluctuations in intraocular pressure are an independent risk factor in patients with glaucoma. J Glaucoma. 2000;9:134-142.
37. Anderson DR. Glaucoma: the damage caused by pressure. XLVI Edward Jackson memorial lecture. Am J Ophthalmol. 1989;108:485-495.
38. Jampel HD. Target pressure in glaucoma therapy. J Glaucoma. 1997;6:133-138.
39. Holmstrom S, Buchholz P, Walt J, Wickstrom J, Aagren M. Analytic review of bimatoprost, latanoprost and travoprost in primary open angle glaucoma. Curr Med Res Opin. 2005;21:1875-1883.
40. Ishida N, Odani-Kawabata N, Shimazaki A, Hara H. Prostanoids in the therapy of glaucoma. Cardiovasc Drug Rev. 2006;24:1-10.
41. Lee DA. Ocular hypotensive medications for the treatment of glaucoma. Ophthalmol Clin North Am. 2005;18:529-538.
42. Singh A. Medical therapy of glaucoma. Ophthalmol Clin North Am. 2005;18:397-408.
43. Lee DA, Higginbotham EJ. Glaucoma and its treatment: a review. Am J Health Syst Pharm. 2005;62:691-699.
44. Marquis RE, Whitson JT. Management of glaucoma: focus on pharmacological therapy. Drugs Aging. 2005;22:1-21.
45. Gurwitz JH, Glynn RJ, Monane M, et al. Am J Public Health 1993;83:711-716.
46. Kass MA, Gordon M, Morley RE, Jr., et al. Compliance with topical timolol treatment. Am J Ophthalmol. 1987;103:188-193.
47. Kass MA, Meltzer DW, Gordon M, et al. Compliance with topical pilocarpine treatment. Am J Ophthalmol 1986;101:515-523.
48. Cantor LB, Hoop J, Morgan L, Wudunn D, Catoira Y; Bimatoprost-Travoprost Study Group. Intraocular pressure-lowering efficacy of bimatoprost 0.03% and travoprost 0.004% in patients with glaucoma or ocular hypertension. Br J Ophthalmol. 2006;90:1370-1373.
49. Noecker RS, Dirks MS, Choplin NT, Bernstein P, Batoosingh AL, Whitcup SM; Bimatoprost/Latanoprost Study Group. A six-month randomized clinical trial comparing the intraocular pressure-lowering efficacy of bimatoprost and latanoprost in patients with ocular hypertension or glaucoma. Am J Ophthalmol. 2003;135:55-63.
50. Parrish RK, Palmberg P, Sheu WP; XLT Study Group. A comparison of latanoprost, bimatoprost, and travoprost in patients with elevated intraocular pressure: a 12-week, randomized, masked-evaluator multicenter study. Am J Ophthalmol. 2003;135:688-703.







